Heidelberg, 15 June 2021. We are very pleased to see our paper on the comparison of IOL-injectors published in this month’s Journal of Cataract and Refractive Surgery. In an in vitro laboratory study, using porcine cadaver eyes we set out to compare a new IOL- injector system, the multiSert, against three standard injector systems.
What we did
Using porcine cadaver eyes, we implanted the preloaded IOL (+20D) with the following IOL-injector systems: multiSert, UltraSert, iTec and RayOne, i.e., S1.8 (incision size: 1.8mm), S2.0 (2.0mm), S2.2P (2.2mm, push-mode), S2.2S (2.2mm, screw-mode), U2.2 (2.2mm), iT2.2 (2.2mm) and R2.0 (2.0mm).
Corneal incision sizes were measured before and after implantation with a incision gauge set.
We calculated an enlargement of the corneal incision size by taking the value of the incision size after implantation minus the incision size before implantation
We evaluated Ease of use using a Likert scale.
IOL delivery time and performance were determined based on Miyake-Apple view videos.
Our Results
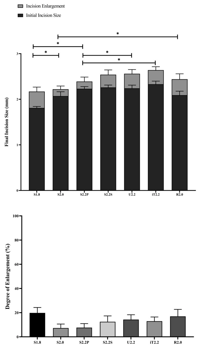
Of the 70 eyes studied, the incision enlargements were 0.36 ± 0.08mm (S1.8), 0.15 ± 0.07mm (S2.0), 0.17 ± 0.12mm (S2.2P), 0.28 ± 0.10mm (S2.2S), 0.32 ± 0.09mm (U2.2), 0.30 ± 0.08mm (iT2.2) and 0.35 ± 0.11mm (R2.0).
Top graph: Each injector group’s final incision size and incision enlargement. Data presented as the mean ± SD. *Statistical significance in incision enlargement between groups as determined by 1-way analysis of variance followed by Tukey post hoc analysis. Bottom graph: Degree of enlargement (percentage).
Total scores of ease of use were 23.00 (S1.8), 25.00 (S2.0), 29.00 (S2.2P), 26.00 (S2.2S), 26.00 (U2.2), 25.00 (iT2.2) and 24.00 (R2.0).
As for the mean delivery time, iT2.2 took the longest time (13.20 ± 3.29 seconds), while S2.2S took the shortest time (4.50 ± 0.71 seconds).
Miyake-Apple view images show IOL delivery. a and e: counterclockwise leading haptic. b, c, and d: optic–haptic adhesion. f: IOL attachment to the plunger.
Haptic-optic adhesion was observed in S1.8 (4, 40%), S2.2P (2, 20%), U2.2 (5, 50%) and iT2.2 (5, 50%).
What we conclude
The multiSert with the appropriate incision size and implantation method, could achieve better results regarding incision enlargement, ease of use, delivery time and performance than the other injectors.
What we knew before
- Preloaded IOL injectors can make a more standardized, faster, and easier loading procedure possible.
- Previous studies have used the porcine eye model to evaluate certain aspects of a preloaded injector’s performance; however, to our knowledge, our comprehensive evaluation of IOL injector systems with Miyake-Apple view videos is a new approach.
What we found
- The configuration (i.e., whether nozzle tip is oval, round or v-shaped) at its exit and the diameters of the outer cross-section - these appear to play a more critical role in the reduction of corneal incision size - more so than the depth guard or insert shield design.
- Choosing an incision size that best fits the injector system is essential. Starting with merely smaller sizes instead of appropriate sizes will eventually cause significantly larger incision stretching.
- With the smallest incision size of 1.80 mm, the multiSert generated the largest incision enlargement, the lowest score on the ease of use Likert scale, and most occurrences of inadvertent events during IOL implantation.
- We found an indirect relationship between incision size and inadvertent events.
To read our paper
doi: 10.1097/j.jcrs.0000000000000736
end


Corneal Centre to Periphery: Astigmatism Changes